Компания «Облкоммунэнерго» и администрация Нижнего Тагила узаконили изменение концессионного соглашения по строительству мусоросортировочного комплекса (МСК) и полигона. Для этого пришлось обращаться в арбитражный суд, который удовлетворил требования компании и разрешил внести правки в соглашение от 2018 года.
Главное изменение — перенос сроков сдачи объекта, о котором стало известно весной после начала строительства. Если по дополнительному соглашению от 2020 года МСК и полигон должны были возвести к концу 2022 года, то теперь срок сдвинули на конец 2023 года. Помимо этого, концессионным соглашением предусмотрена реконструкция двух существующих полигонов с их последующей рекультивацией: в последней версии договора эти работы должны были выполнить к концу 2022 года, но теперь дату сдвинули сразу на 7 лет — на конец 2029 года.
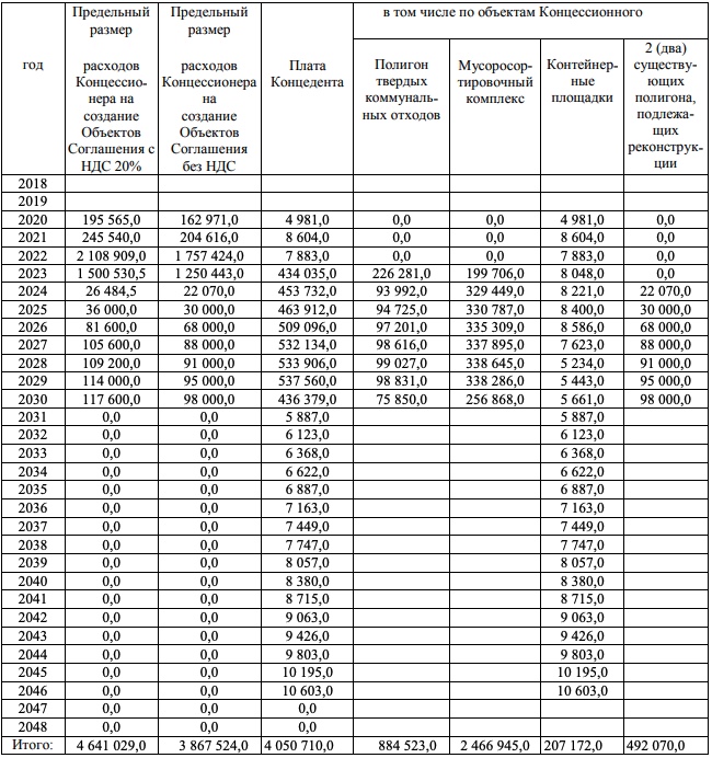
Также изменился график и размер платы по соглашению. Общая сумма платежей из бюджета осталась прежней — чуть более 4 млрд рублей. Город будет рассчитываться за объект до 2046 года. А вот объем инвестиций «Облкоммунэнерго» вырост с 4 млрд до 4,6 млрд.

Напомним, изначально концессионное соглашение, подписанное администрацией Нижнего Тагила и АО «Облкоммунэнерго» в 2018 году, предусматривало сдачу МСК и полигона в конце 2020 года, но позже срок перенесли на 2022 год. Тогда же из соглашения исключили строительство снегоплавильной станции, которая должна была решить вопрос с утилизацией грязного снега, вывозимого с дорог.
Новый МСК и полигон строят вблизи действующего полигона в районе кладбища Рогожино между Кушвинским и Серовским трактом. Согласно техническому заданию, срок их эксплуатации определен на 25 лет. Проектная производительность предприятия составляет 185 тыс. тонн ТКО в год. МСК должен отбирать не менее 30% всех отходов по массе, из которых 11% - вторичные материальные ресурсы (стекло, бумага и картон, чёрные и цветные металлы, различные виды пластиков). Это вторсырье планируют продавать специальным компаниям, которые занимаются переработкой. Остальная часть (19%) это отобранные органические материалы, которые направляются на участок компостирования для получения техногрунта. Техногрунт предполагается использовать для промежуточной изоляции на полигоне отходов, а также во время последующей рекультивации заполненных участков полигона. Остальные 70% ТКО будут закапывать на новом полигоне. Соответственно его максимальная мощность определяется из расчёта 70% от общего количества поступающих на МСК ТКО – 129,5 тыс. тонн/год. Согласно территориальной схеме обращения с ТКО с 2025 года в Нижний Тагил, помимо пригорода, повезут мусор из Невьянского округа.



